人口发展方程_方程的发展历史手抄报(2)
日期:2021-04-07 类别:热点图片 浏览:
随着移动互联网的快速发展,基于互联网的共享单车应运而生.某市场研究人员为了了解共享单车运营公司
人组蛋白脱乙酰基酶 5(hdac5)elisa试剂盒 计算 以标准物的浓度为横坐标, od值为纵坐标,在坐标纸上绘出标准曲线,根据样品的od值由标准曲线查出相应的浓度;再乘以稀释倍数;或用标准物的浓度与od值计算出标准曲线的直线回归方程式,
星火干货 如何做好初一数学的期末复习 生活中会用到的一元二次方程
课时1 质量守恒定律考点1 质量守恒定律质量守恒定律的理解质量守恒定律内容参加
大战术家内战开发日志粗译 大战略 第一部分 性感三人工作室在线画饼
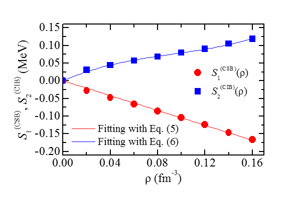
近代物理所在同位旋多重态质量方程和nolen schiffer反常研究中取得进展
自然资源部海洋一所乔方利研究员课题组科研人员在涌浪对风应力影响研究中取得新进展
2、kpi仪表盘-预警项目进展的指标 3、人工成本率-预警人效提升的指标 (二)hr人才预警 第四部分 hr价值化(第二天下午,1.5小时,实操演练,带笔记本电脑) 一、看开源 (一)hr贡献 案例5:去年人工成本率是8.3%,今年
毕节3.某县为发展教育事业,加强了对教育经费的投入,2008年投入3 000万元,预计2010年投入5 000万元.设教育经费的年平均增长率为 ,根据题意,下面所列方程正确的是( ) 毕节4.有一人患了流感,经过两轮传染后共有100人患了流感,
下列关于能源的开发和利用的说法中不正确的是 a.能源是有限的.无节制地利用常规能源.是一种盲目的短期行为b.根据能量守恒定律.担心能源枯竭是杞人忧天c.在能源的开发和利用中必须同时考虑对环境的影响
结构变迁 工资差异与经济增长 基于75个国家和地区1978 2007年面板数据的实证研究 下
http://mt.sohu.com/20170310/n482895527.shtmlmt.sohu.comtrue兰州方程式http://mt.sohu.com/20170310/n482895527.shtmlreport1138老兰州人都知道,位?
颐合府 共95亩,3栋住宅,4栋商业,开发商中建方程,央企中建下属公司,项目开发少,口碑一般化,可以参考中建开元城,现在也只有部分房源对外销售。
全球化与发展 经典 依赖 理论与当代世界的关联
推荐阅读
相关文章
- 总排名
- 每月排行
- 推荐阅读
- 阅读排行















